Елена ЙЫЛДЫРЫМ, доктор биологических наук
Светлана БИКОНЯ
Игорь МАРКМАН
ООО «БИОТРОФ»
Дмитрий ЧЕРВАТЕНКО, директор
Марина НИКОЛАЕВА, заместитель директора по животноводству
ООО «Шекснинская Заря»
Не за горами очередной сезон заготовки кормов, и вопросы эффективного силосования вновь выходят на первый план для каждого ответственного агронома. Использование качественного силоса — это не просто дань технологии, а способ получения прямой экономической выгоды, которая связана со стабильными удоями, хорошим здоровьем животных и высоким уровнем безопасности продукции.
Научный подход — эффективность в поле
Однако путь от сочной зеленой массы в поле до идеально сохраненного корма полон подводных камней. Это и погодные риски, и низкий уровень технологической дисциплины (несоблюдение требований к высоте среза растений, качеству трамбовки и пр.), и надежда на «авось» вместо применения научно обоснованных биологических препаратов. Финальный «камень преткновения» — аэробная порча силоса при открытии траншеи для скармливания животным, способная в считаные дни свести на нет все усилия и инвестиции. Как же обезопасить свой корм от этих угроз? Ответ кроется в глубоком понимании биохимических процессов и грамотном применении современных биотехнологий.
Отечественная закваска Промилк® создана на основе штамма бактерий Bacillus spp., который образует высокоустойчивые покоящиеся споры и имеет в геноме уникальные гены осмотолерантности, антимикробной активности, биодеструкции микотоксинов. Благодаря этому мы смогли получить сухую форму продукта, которую удобно транспортировать, не нужно хранить в холодильнике и можно доставлять в труднодоступные и удаленные регионы. Кроме того, она имеет более длительный срок хранения (24 месяца), чем жидкие и большинство сухих препаратов. При этом бактерии очень быстро восстанавливают свою активность при внесении в силосную массу.
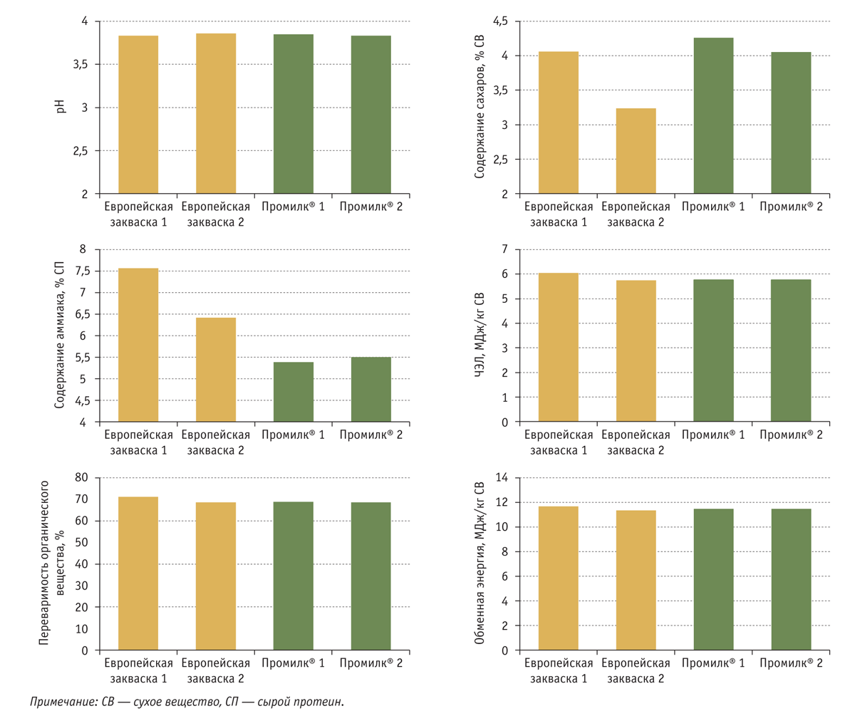
Специалисты ООО «Шекснинская Заря» (Вологодская область) провели крупномасштабное исследование эффективности действия закваски Промилк®. Сравнили биохимические показатели качества двух партий корма из кукурузы, заготовленных с закваской Промилк®, и кукурузного силоса, заложенного с европейским биоконсервантом на основе Lactobacillus plantarum, Pediococcus pentosaceus и L. buchneri (пробы из двух партий). Все партии силоса были заготовлены практически одновременно. Анализ показателей качества специалисты хозяйства провели в компании «ЯРВЕТ» по методикам, признанным во всем мире (рис. 1).
Судя по эффективному подкислению корма на протяжении процесса ферментации, применение как зарубежного, так и отечественного биоконсерванта Промилк® обеспечивало правильный процесс брожения. При этом при использовании закваски Промилк® сахара кормов расходовались более экономно благодаря научно обоснованной дозировке вносимых микроорганизмов.
Важно отметить, что применение закваски Промилк® позволило получить корм с низким содержанием аммиака, что говорит о подавлении протеолитических бактерий, включая клостридии. При этом в партиях, заложенных с дорогостоящим европейским консервантом, содержание аммиака оказалось выше. Переваримость органического вещества, содержание обменной энергии и чистая энергия лактации (ЧЭЛ) — часть энергии корма, которая расходуется на поддержание жизни, производство молока или рост — при закладке как с зарубежным, так и с отечественным консервантом были практически на одинаковом уровне.
Душевный подход к качеству кормов
Особенно ценно получать обратную связь от тех, для кого качество корма — вопрос не только экономики, но и традиции. Яркий пример — Спасо-Преображенский Валаамский монастырь, чье хозяйство славится трудолюбием работников и высочайшим качеством молочной продукции. Суровый климат Ладожского озера предъявляет особые требования к заготовке кормов.
Братия монастыря на собственном опыте оценила важность надежных биопрепаратов. Начальник Валаамской фермы монах Агапий выразил искреннюю благодарность компании «БИОТРОФ» за многолетнее партнерство и обеспечение хозяйства эффективными заквасками для силосования, включая Биотроф-111 (рис. 2).
Эта помощь стала одним из кирпичиков в фундаменте успеха монастырской фермы, позволив не только стабилизировать качество кормов, но и, по отзывам экспертов, в том числе итальянских сыроделов, повысить сыропригодность молока — важнейший показатель для производства элитных продуктов.
Цепная реакция порчи
Истинное мастерство заготовки кормов оценивается не только по интенсивности усилий в момент уборки и консервации зеленой массы, но и по долгосрочной стабильности полученного продукта. Рано или поздно созданная в силосной траншее анаэробная экосистема в момент ее вскрытия для скармливания неизбежно столкнется с кислородом.
Таким образом, аэробная стабильность становится мерилом успеха всего процесса силосования. Когда хранилище вскрывают, дрожжи, до поры до времени «дремлющие» в анаэробных условиях, при доступе воздуха получают сигнал к активному росту. Они начинают стремительно потреблять остатки сахаров и молочную кислоту, вызывая разогрев массы и быстрое увеличение уровня pH. Это снимает последние преграды для развития плесневых грибов родов Aspergillus, Penicillium, Fusarium — продуцентов микотоксинов. С одной стороны, плесени «съедают» питательные компоненты корма. С другой стороны, современная высокоудойная «голштинизированная» корова обладает крайне нестабильным микробиомом рубца. Такой микробиом зачастую не справляется с нейтрализацией токсинов, что ведет к целому каскаду проблем: от снижения переваримости клетчатки и падения жирности молока до серьезных сбоев в репродуктивной функции и выбраковки.
Таким образом, борьба за аэробную стабильность — это борьба не просто за сохранение питательности, но также и за здоровье стада и чистоту продукции животноводства.
Энергетический источник с характером
Особенно уязвима к контакту с кислородом «золотая культура» — кукуруза — главный источник обменной энергии в рационах. Ее колоссальный потенциал легко растерять уже на этапе заготовки. Работа в условиях цейтнота и неидеальной погоды создает множество рисков, которые, накладываясь друг на друга, способны спровоцировать настоящий шторм потерь.
Фаза уборки — первый критический рубеж. Слишком ранняя уборка в фазу молочно-восковой спелости дает массу с влажностью до 85% и избытком сахаров. Это грозит неконтролируемым соковыделением (до 450 л/т), перекислением и потерей растворимых питательных веществ. Затянутые сроки, напротив, ведут к одревеснению стеблей и снижению усвояемости зерна. Засуха в период налива усугубляет проблему, снижая накопление крахмала и повышая риски потерь сока. Техника резки тоже вносит свою лепту: слишком длинные частицы плохо трамбуются, создавая воздушные карманы при трамбовке, а слишком короткие — «истекают» ценным соком.
Результатом становится идеальная среда для развития нежелательной микробиоты. Дело в том, что при консервировании кукурузного силоса уплотнение происходит медленно и стабильная анаэробная среда формируется лишь через 2–3 суток или позже. Этот временной промежуток — окно возможностей для аэробных микроорганизмов: дрожжей и плесневых грибов. При этом истоки проблемы не в хранилище — современные исследования показывают, что токсикогенные грибы (включая Aspergillus и Penicillium) часто поражают растения еще на этапе вегетации в поле.
Таким образом, для сохранения питательной ценности кукурузы и предотвращения потерь требуется выстроить непрерывный технологический цикл — от контроля оптимальных сроков уборки до качественной трамбовки и применения эффективных заквасок.
Молекулярная основа аэробной стабильности
Ответом на эти комплексные вызовы стала целенаправленная научная работа, воплотившаяся в новом продукте — закваске Биотроф-АСК. Это не просто очередной консервант, а результат оптимизации состава, при которой ключевым решением стало внедрение специально отобранного гетероферментативного штамма Lactobacillus brevis. Штамм был выделен из уникальной среды — кукурузного силоса с высоким уровнем аэробной стабильности.
Чем же штамм принципиально отличается от других? Часть заквасок справляются с задачей быстрого подкисления, но бессильны против дрожжей на этапе выемки корма. Новая композиция, включающая штамм L. brevis работает на опережение, обеспечивая долговременную аэробную стабильность. Ряд уникальных генов в геноме штамма L. brevis позволяет ему проявлять активность в уже закисленной среде силоса, трансформируя часть образовавшейся молочной кислоты в мощный консервант второго эшелона — пропионовую кислоту. В нейтральной среде цитоплазмы пропионовая кислота диссоциирует, стремительно повышая кислотность внутри клетки и высвобождая протоны (H+), что приводит к коллапсу клеточных процессов и гибели дрожжей. Это обеспечивает защиту корма от разогрева и порчи не только в процессе ферментации, но и при контакте с кислородом.
Такое физиологическое преимущество обеспечивает целый комплекс генов, которые позволяют штамму L. brevis не просто выживать, а проявлять высокую активность в агрессивной закисленной среде. Ключевым драйвером процесса служит ген fucO, связанный с синтезом фермента NADH-связанной 1,2-пропандиолзависимой оксидоредуктазы.
Важно отметить, что гены, кодирующие специфичные ферменты пути пропионатного метаболизма, присутствуют далеко не у всех представителей вида и даже рода. Способность преобразовывать лактат в пропионат характерна для отдельных штаммов ограниченной группы бактерий, таких как некоторые штаммы видов L. brevis, L. buchneri и L. kefiri. Эта способность — результат целенаправленной селекции и редкой природной адаптации. Так, например, сравнительный анализ экспрессии генов показал, что у специально отобранного штамма L. brevis в составе закваски Биотроф-АСК активность пути преобразования лактата в пропионовую кислоту почти в десять раз выше, чем у Lactobacillus plantarum (рис. 3). L. plantarum, в свою очередь, является эталонным гомоферментативным видом, чья главная задача — стремительное и массивное производство молочной кислоты на раннем этапе силосования для быстрого подкисления среды без перевода в пропионовую кислоту.
Высокий уровень экспрессии fucO у штамма L. brevis в составе закваски Биотроф-АСК означает сверхсинтез фермента 1,2-пропандиолзависимой оксидоредуктазы. Именно этот фермент играет центральную роль в анаэробном пути превращения молочной кислоты в 1,2-пропандиол, который служит ключевым предшественником образования пропионовой кислоты. В сущности, штамм получает возможность использовать уже накопленную в силосе молочную кислоту в качестве сырья для производства мощного антидрожжевого агента «второго эшелона».
Однако путь преобразования лактата в пропионат — это работа не одного гена, а слаженный конвейер. Его эффективность дополнительно усиливает уникальный генетический профиль штамма. Так, ген adhE (ацетальдегид-КоА/алкогольдегидрогеназа) также демонстрирует рекордную по сравнению с другими штаммами экспрессию: почти в 15 раз выше, чем у контрольного штамма (см. рис. 3). Этот фермент завершает цепочку, восстанавливая промежуточные соединения до пропионовой кислоты. Кроме того, сравнение показывает, что ген ackA (ацетаткиназа, которая отвечает за энергетику клетки) у L. brevis активен в меру. Это позволяет бактерии эффективно производить пропионовую кислоту, не перенаправляя ресурсы на избыточное производство уксусной кислоты. Для сравнения: у родственного штамма бактерии L. kefiri ген ackA гиперактивен (активность выше в 52 раза), что заставляет ее производить слишком много уксусной кислоты в ущерб производству пропионовой (рис. 4). Это снижает антидрожжевой эффект и может ухудшать качество корма.
Таким образом, в композиции закваски Биотроф-АСК обе ключевые функции — и быстрое первичное подкисление, и синтез пропионата — целенаправленно усилены и включены в единую стратегию. Специально подобранный штамм L. plantarum эффективно решает первую задачу (стремительное закисление среды), специальный штамм L. brevis включается позже, ближе к стадии созревания. Пока другие бактерии, в том числе стандартные заквасочные штаммы, замедляют активность в закисленной среде, этот штамм запускает свою программу защиты, преобразуя среду обитания из просто кислой в стабильно консервирующую за счет направленного синтеза пропионовой кислоты.
Восемь дней без потерь
Лабораторные и производственные испытания подтвердили высокую эффективность этого подхода. Так, например, при внесении биопрепарата Биотроф-АСК был достигнут эталонный профиль брожения. Силос характеризовался высоким содержанием молочной кислоты (74,4% от общего пула) и полным отсутствием масляной кислоты, что указывало на правильную направленность процесса ферментации (таблица). Сравнительный анализ силоса, заготовленного с Биотроф-АСК, и контрольных образцов после 40 суток ферментации дал впечатляющий результат: период сохранения аэробной стабильности корма с биоконсервантом увеличивается в среднем на восемь дней.
Этот результат напрямую связан с полным подавлением дрожжевой микробиоты: если в исходной массе количество дрожжей составляло 4,2 × 102 КОЕ/г, то на 40-е сутки ферментации, а также на 8-е сутки после контакта с кислородом характерные колонии дрожжей на питательной среде Сабуро не были обнаружены. При этом pH зрелого силоса составил 3,59, а после восьмисуточной аэробной выдержки — 3,77, что демонстрирует стабильность кислой среды.
Данные опыта показывают, что применение закваски Биотроф-АСК не просто улучшает параметры брожения, а принципиально решает проблему аэробной порчи. Это сэкономленные тонны сухого вещества, снижение риска микотоксикозов, стабильные показатели продуктивности и, в конечном счете, дополнительная прибыль. Данный эксперимент — одно из многих подтверждений того, что правильная микробиологическая стратегия позволяет не только законсервировать питательные вещества, но и надежно защитить их в самый уязвимый период — период скармливания.
Инвестиция в стабильность
Силосование — это управляемый технологический процесс, где качество конечного корма является закономерным результатом точных решений, основанных на синтезе передовой науки и практики. Ярким доказательством служат результаты масштабных производственных испытаний в ООО «Шекснинская Заря». Они наглядно демонстрируют, что современные отечественные биопрепараты, разработанные с учетом результатов глубокого изучения микробиологии силоса, не только соответствуют, но и по ключевым параметрам превосходят импортные аналоги.
В основе этого превосходства лежит целенаправленный научный подход, трансформирующийся в практические преимущества. Каждый продукт НПК «БИОТРОФ», будь то осмотолерантная и устойчивая при хранении закваска Промилк® на основе Bacillus spp. или инновационный биоконсервант Биотроф-АСК, реализующий стратегию поэтапной микробиологической защиты, — это ответы на конкретные технологические вызовы. Так, например, механизм действия закваски Биотроф-АСК реализуется в два важных этапа. Первая фаза — быстрое подкисление с помощью штамма L. plantarum для оперативного снижения pH и подавления нежелательной микробиоты. Вторая фаза, критически важная, — это пролонгированная защита от аэробной порчи, которую обеспечивает уникальный штамм L. brevis, продуцирующий пропионовую кислоту. Этот штамм создает в силосе защитный барьер на опережение, который подавляет развитие дрожжей и плесневых грибов, что активизируются при доступе кислорода во время выемки корма. Практический результат измеряется в конкретных экономических показателях: до восьми и более дней аэробной стабильности означают спасенные тонны сухого вещества, здоровье животных и, как следствие, прямую прибыль хозяйства за счет снижения потерь и повышения эффективности кормления.
Благодарим специалистов ООО «БИОТРОФ» — доктора биологических наук Георгия Лаптева, кандидата экономических наук Дарью Тюрину, кандидата биологических наук Наталью Новикову, доктора биологических наук Ларису Ильину, Валентину Филиппову, Василия Заикина, Евгения Бражника, Владислава Большакова, а также сотрудников ООО «Шекснинская Заря» — заместителя директора по производству Руслана Заводова и главного инженера Константина Тюрмакова за помощь в проведении исследований и подготовке статьи к публикации.
ООО «БИОТРОФ»
192288, Санкт-Петербург, а/я 183
Тел.: +7 (812) 448-08-68
Факс: +7 (812) 322-85-50
Эл. почта: biotrof@biotrof.ru
www.biotrof.ru


